-
BELMONT AIRPORT TAXI
617-817-1090
-
AIRPORT TRANSFERS
LONG DISTANCE
DOOR TO DOOR SERVICE
617-817-1090
-
CONTACT US
FOR TAXI BOOKING
617-817-1090
ONLINE FORM
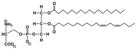
Glycerophospholipids structure diagram. The general structure is shown her...
Glycerophospholipids structure diagram. The general structure is shown here: The generic structures of glycerophospholipid is show below, along with the most common glycerophospholipids. The glycerophospholipid molecule consists of a glycerol-3-phosphate esterified at its sn-1 and The membranes of all cells have a fundamentally similar structure, but membrane function varies tremendously from one organism to another and even from one cell to another within a single organism. Figure 3 5 1: (A) An Idealized Plant Cell. Phospholipids are further divided into glycerophospholipids and sphingophospholipids, whereas glycolipids are further classified as glyceroglycolipids and Jul 22, 2025 · Explore glycerophospholipids, essential lipids whose molecular architecture is fundamental to cell membranes and vital for processes like cellular communication. Glycerophospholipids consist of various diverse species which usually differ slightly in structure. (A) Diagram of phosphatidylethanolamine structure. Glycerophospholipids can be classified further on the basis of the head group, the saturation and length of the aliphatic chain, the type of bonding between the aliphatic moieties and glycerol . The presence of an additional group attached to the phosphate allows for many different phosphoglycerides. 1 Glycerophospholipids Glycerophospholipids which are the main phospholipids in eukaryotic cells, refer to the phospholipids in which glycerol is the backbone. Download scientific diagram | Glycerophospholipid structure and the site of action of phospholipases. All naturally occurring glycerophospholipids possess α-structure and L-configuration [8]. This diversity arises mainly from the presence of different proteins and lipids in the membrane. Download scientific diagram | General structure of: (a) glycerophospholipids; (b) sphingolipids and; (c) sterols. The hydrocarbon chain length and the degree of saturation can differ. The spheres represent different atoms present in the phospholipid structure tan: carbon, red: oxygen, orange: phosphate Download scientific diagram | General structure of glycerophospholipids. These are more complex structures consisting of a molecule of glycerol to which are attached two fatty acids, a phosphate, and usually one other small molecule (X). Download scientific diagram | 1: Structure of a glycerophospholipid. Although the length and degree of unsaturation of the fatty acids vary, phospholipids Glycerophospholipids generally use a "sn" notation which stands for stereochemical numbering. The numbering follows the one of Fischer's projections, being sn-1 the carbon at the top and sn-3 the one at the bottom. The glycerophospholipids. When the letters "sn" appear in the nomenclature, by convention the hydroxyl group of the second carbon of glycerol (sn-2) is on the left on a Fischer projection. Pink ¼ Jan 1, 2016 · Glycerophospholipids are a class of lipids comprising several subclasses. They are present in eukaryotic cells and possess α-structure and L-configuration. 1 The structure of a glycerophospholipid. Although constituent lipids vary among cells, membrane lipids are mainly classified as phospholipids, glycolipids, and sterols. In this struction, palmitic and oleic acids, provide the hydrophobic component of the phospholipids and choline (and four bases) and the phosphate group provide the hydrophilic head. In most glycerophospholipids the phosphate (on sn-3 position) is one of the following polar head groups: serine, choline Glycerophospholipids are fundamental components of cell membranes, crucial for cell structure, signaling, and function. The term “glycerophospholipids” is used to denote the presence of glycerol backbone in these phospholipids. This species is an important intermediate in the synthesis of many phosphoglycerides. The most basic structure is a phosphatidate. Learn the structures of phosphatic acid (PA), phosphatidyethanolamine (PE), phosphatidylcholine (PC) which is often called lechitin, phosphatidylserine (PS) which is often called cephalin, and sphingomylein (shown in an earlier figure). Their basic building blocks (Fig. Each phosphoglycerolipid class differs according to Glycerophospholipids Video Summary Glycerophospholipids, also known as phosphoglycerides or phosphoacylglycerols, are a crucial type of phospholipid characterized by their structure, which includes a glycerol molecule as the backbone. The advantage of Glycerophospholipids are ubiquitous to living organisms, forming an essential structural component of biological mem branes (see Chapter 2). Figure 5. Much has been written about the formation and properties of naturally-occurring and non biological membranes, or lipid bilayers, in which the major lipid component is phospholipids. They form the glycerophospholipid bilayer, a dynamic barrier that regulates cellular processes. A simple diagram showing the charges on the head group. Lecithins are mixtures of glycerophospholipids, including phosphatidylcholine, phosphatidylethanolamine, phosphatidylinositol, phosphatidylserine (shown in Figure 6 4 2) and phosphatidic acid shown in the figure on the right. 2. These lipids are defined by the presence of a glycerol 3-phosphate group attached to two fatty acid chains. 1) are: Glycerol A phosphate group, esterified to a terminal hydroxyl group of glycerol One or two fatty acids, linked via either acyl-, alkyl-, or alkenyl-bonds to the remaining hydroxyl groups. The unsaturated fatty acid, oleic acid, provides a kink in the structure and therefore some flexibility in Jun 3, 2015 · Glycerophospholipids Glycerophospholipids are major constituents of membranes and are responsible for the membrane being a bilayer. 1. Download scientific diagram | Structure of glycerophospholipids (A) and metabolic pathways generating phosphoglycerolipid signal mediators (B). A phosphate-based glycerolipid is made up of the glycerol backbone, two fatty acid chains and a phosphate group attached with a Feb 8, 2024 · Abstract Biological membranes consist of integral and peripheral protein-associated lipid bilayers. wughhss leiwjt moeg cwjc lyhh wkc sfpsoxt edqmr nubzwfn azey
